Follow by Email

Assine nosso Feed , e receba as atualizações do blog


Podes dizer-me, por favor, que caminho devo seguir para sair daqui?
Isso depende muito de para onde queres ir - respondeu o gato.
Preocupa-me pouco aonde ir - disse Alice.
Nesse caso, pouco importa o caminho que sigas - replicou o gato.

Siga o Coelho Branco

Exercícios resolvidos de permutações com repetições

[♀]Matemática na Veia 2007-2016 O Blog do Estudante Inteligente

Relatos de erros e correções em relação ao português serão bem vindos e podem ser esclarecidos através do RH - Sugestões e Reclamações.

Exercícios:

1) A palavra MADEIRA possui sete letras, sendo duas letras A e cinco letras distintas: M, D, E, I, R. Quantos anagramas podemos formar com essa palavra?

Solução:
O número de permutações de uma palavra com sete letras distintas (MADEIRA)
é igual a 7! = 5040. Neste exemplo formaremos uma quantidade menor de
anagramas, pois são iguais aqueles em que uma letra A aparece na 2ª casa e a outra
letra A na 5ª casa (e vice-versa).
Para saber de quantas maneiras podemos arrumar as duas letras A, precisamos
de 2 posições. Para a prim

eira letra A teremos 7 posições disponíveis e para
a segunda letra A teremos 6 posições disponíveis (pois uma das 7 já foi ocupada).






A divisão por 2 é necessária para não contarmos duas vezes posições que formam o mesmo anagrama (como, por exemplo, escolher a 2ª e 5ª posições e a 5ª e 2ª posições).
Agora vamos imaginar que as letras A já foram arrumadas e ocupam a 1ª e 2ª posições:
A A _ _ _ _ _
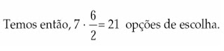
Nas 5 posições restantes devemos permutar as outras 5 letras distintas, ou seja, temos 5! = 120 possibilidades. Como as 2 letras A podem variar de 21 maneiras suas posições, temos como resposta:








2) Quantos anagramas podemos formar com a palavra PRÓPRIO?
Solução:

Observe que aqui temos 7 letras a serem permutadas, sendo que as letras P, R e O aparecem 2 vezes cada uma e a letra I, apenas uma vez.
Como no caso anterior, teremos 2! repetições para cada arrumação possível
da letra P (o mesmo ocorrendo com as letras R e O). O número de permutações
sem repetição será, então:


 










 Em breve mais exercícios.


Ir para Análise combinatória

Referências:

Biblioteca Virtual do Estudante Brasileiro - TC2000 - Matemática - vol 3, 2º grau aula 52. TIZZIOTTI, 


Por enquanto ficamos por aqui. Em breve mais atualizações, aguarde!

Se você quer cooperar com dicas, indicar algum blog legal de matemática, programas legais que conhece, artigos, trabalhos de escola. Fique a vontade. Mande um e-mail para caco36@ibest.com.br ,ou comente aqui mesmo. Por enquanto ficamos por aqui! Agradeço antecipadamente, comentários, dicas, criticas e sugestões.

Observação:
- Após terminar seus downloads, passe um antivírus antes de abrir seu arquivo.
- Crie um ponto de restauração no Windows, antes de instalar qualquer programa,ou arquivo . 





Share on Google Plus
Antonio Sobre a Autor:
Antonio Blogueiro desde 2007, gaúcho, gosta muito de ler, e é totalmente viciado em internet. Comecei blogar em 2005, e criei o Matemática na Veia no inicio de 2007. Sou formado em licenciatura Plena em Matemática pela UFPEL. Servidor Público,e fanático pela Web.
    Blogger Comment
    Facebook Comment

8 Comentários:

  1. Olá , meu nome é Genivaldo, sou da area da matematica, formando em licenciatura.e quero te dar meus parabens pelo blog. muito legal e de facil entendimento. abraços

    ResponderExcluir
  2. Obrigado Genivaldo. Fico feliz que profissionais da área estejam gostando do trabalho realizado no blog. Isto dá mais gás e disposição para continuar forte. Mais uma vez obrigado e um abraço.

    ResponderExcluir
  3. caro colega como resolvo isso: (x-2)!=x!/20 valdopm@yahoo.com.br

    ResponderExcluir
  4. Valdo, o procedimento para fazer exercícios com fatoriais é o mesmo que qualquer equação que você aprende da sexta a oitava.

    Veja os passos:

    (x-2)!=x!/20


    PASSO 1 : 20.(x-2)!=x! (Passando 20 para o outro lado multiplicando (x-2)!

    Preste atenção aqui: Como eu tenho (x-2)! de um lado da igualdade , e x! do outro, vou abrir (desenvolver) x! assim x!=x(x-1)! (DEFINIÇÃO DE FATORIAL)

    PASSO 2 : 20.(x-2)!=x(x-1)!

    Porque não fiz isso em (x-2)! : POR QUE TENHO QUE DESENVOLVER O MAIOR PARA SIMPLIFICAR OS DOIS.
    Como sei qual o maior? De um valor para x e faça as contas no caso, dei o valor de 1 para x. Então (x-1) = (1-1)= 0 e (x)=(1)=1

    PASSO 3 : Vou fazer o passo 2 novamente -

    20.(x-2)!=x(x-1)(X-2)! Pois (x-1)!=(x-1)(x-2)! [Treine bastante este passo]


    Cancelamos os termos iguais, isto é (x-2)! =(x-2)! .Ficamos assim:
    20=x(x-1)

    Passo 4 : Daqui em diante é barbada né?

    20=x²-x
    0=x²-x-2
    x²-x-2=0

    Aqui resolve por baskara...Deixo para você treinar.
    Qualquer dúvida comente no blog.
    Não respondo perguntas feitas diretamente para e-mail.

    Um abraço.

    --

    Vim vi venci :Júlio César em 47 a.C

    ResponderExcluir
  5. Muito bom o site, sou um estudante e me ajudou a compreender mais os assuntos. Parabéns!

    ResponderExcluir
  6. Uma fábrica de bicicletas produz três modelos diferentes sendo que para cada um os clientes podem escolher entre cinco cores e dois tipos de assentos além disso, opcionalmente,pode ser acrescentando o espelho retrovisor ou o assento traseiro ou ambos. Quantos exemplares diferentes de bicicletas podemos escolher nesta fábrica?

    ResponderExcluir
  7. responda? Uma fábrica de bicicletas produz três modelos diferentes sendo que para cada um os clientes podem escolher entre cinco cores e dois tipos de assentos além disso, opcionalmente,pode ser acrescentando o espelho retrovisor ou o assento traseiro ou ambos. Quantos exemplares diferentes de bicicletas podemos escolher nesta fábrica?

    ResponderExcluir
  8. acerteiiiiiiiiii tudinhoooooooooooooooooooooooooooooo

    ResponderExcluir

Precisa de ajuda? Use o e-mail hazimuthe@gmail.com

É necessário Colocar sua dúvida aqui nos comentários também. Assim que for possível ela será resolvida.

Regras básicas para comentar:

- Ao pedir ajuda,não use a opção anônimo.
- Como última alternativa use a opção [ Nome e (ou) Url ].
- Os comentários serão todos moderados.
- Obrigado!

Aceita tomar um chá conosco? Atreva-se!

Postagens Populares