Follow by Email

Assine nosso Feed , e receba as atualizações do blog


Podes dizer-me, por favor, que caminho devo seguir para sair daqui?
Isso depende muito de para onde queres ir - respondeu o gato.
Preocupa-me pouco aonde ir - disse Alice.
Nesse caso, pouco importa o caminho que sigas - replicou o gato.

Siga o Coelho Branco

BINOMIAIS COMPLEMENTARES - INTRODUÇÃO

[♀]Matemática na Veia 2007-2016 O Blog do Estudante Inteligente

Relatos de erros e correções em relação ao português serão bem vindos e podem ser esclarecidos através do RH - Sugestões e Reclamações.

BINOMIAIS - PARTE I 
 
Dois números binomiais são complementares se apresentam o mesmo numerador e se a soma de suas classes for igual a esse numerador.
Exemplos:
exercicios_binomio_de_newton_numeros_matematica

Podemos demonstrar que dois binomiais complementares são iguais. Assim:

formula_binomio_de_newton_numeros_matematica
Dedução. Por definição temos que:
resolucao_binomio_de_newton_numeros_analise_combinatoria

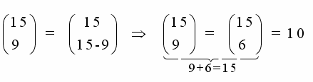
 Por exemplo, observe os seguintes binomiais complementares

resolucao_exercicios_binomio_de_newton_numeros_matematica  dados no exemplo “a” :

exercicios_coeficiente_binomial_numeros_analise_matematica

Vamos visualizar o mesmo problema com a outra notação:

notacao_exercicios_binomio_complementar_newton_numeros_matematica 

Como conseqüência dessa propriedade, temos:

deducao_complementares_binomio_de_newton_numeros_analise_matematica
binomio_de_newton_numeros_binomiais_matematica
   E2-Exercícios para treinar seu aprendizado:

1 - Ache o complementar de cada um dos números binomiais:

exercicios_binomio_de_newton_numeros_matematica_com_gabaritos
2 – Resolva as seguintes equações:
exercicios_equacoes_binomio_de_newton_numeros_matematica_com_resolucao

  2- Gabarito

  a) S={8;9}  b)S={-4;-3;3;4}  c) S={7}  d) S={-2;4}    


Mais exercícios e dicas em:
Apostila com exercícios e resolução completa (Em breve). Para conferir os resultados, use o super software MathSys.
Em análise combinatória você tem as seguintes conteúdos disponíveis:
Para conferir os resultados, use o super software MathSys. Em análise combinatória você tem as seguintes conteúdos disponíveis:Principio aditivo e multiplicativo , Fatoriais , permutações, permutações com elementos repetidos, arranjos simples, combinação simples, exercícios com desenvolvimentos, além de dicas de softwares para auxiliar no desenvolvimento dos seus exercícios.


Por enquanto ficamos por aqui. Em breve mais atualizações, aguarde!
Se você é aluno, professor, ou simplesmente um apaixonado pela matemática, e quer cooperar com dicas, indicar algum blog legal de matemática, ou que seja relacionado a educação, programas legais que conhece, artigos, trabalhos de escola. Fique a vontade. Mande um e-mail para caco36@ibest.com.br ,ou comente aqui mesmo. Agradeço antecipadamente, comentários, dicas, criticas e sugestões.

Observação:

- Após terminar seus downloads, passe um antivírus antes de abrir seu arquivo.
- Crie um ponto de restauração no Windows, antes de instalar qualquer programa, ou arquivo.


REFERÊNCIAS:

BACHX, A. de; POPPE, L. M. B.; TAVARES; RAYMUNDO N. O. – Prelúdio à Análise Combinatória. Companhia Editora Nacional. 1975
CARVALHO, P. C. P; LIMA, E. L.; MORGADO, A. C; WAGNER, E. – A Matemática do Ensino Médio. Vol. 2. Coleção do Professor de Matemática. Sociedade Brasileira de Matemática. 1998
CARVALHO, J. B. P; CARVALHO, P. C. P; FERNANDEZ, P; MORGADO, A. C de O. – Análise Combinatória e Probabilidade. Coleção do Professor de Matemática.

Share on Google Plus
Antonio Sobre a Autor:
Antonio Blogueiro desde 2007, gaúcho, gosta muito de ler, e é totalmente viciado em internet. Comecei blogar em 2005, e criei o Matemática na Veia no inicio de 2007. Sou formado em licenciatura Plena em Matemática pela UFPEL. Servidor Público,e fanático pela Web.
    Blogger Comment
    Facebook Comment

4 Comentários:

  1. Estou precisando de uma ajuda para resolver a seguinte questão (x 2)lê-se binomial de x sobre 2+ (x 3)binomial de x sobre 3=35 qual o valor de x.

    ResponderExcluir
  2. Estou precisando de uma ajuda para resolver a seguinte questão (x 2)lê-se binomial de x sobre 2+ (x 3)binomial de x sobre 3=35 qual o valor de x.


    E o teu nome (anonimo)?

    Tem que abrir esta equação.
    |x|
    |2| = Cx,2= x!/2!(x-2)!

    |x|
    |3| = Cx,3= x!/3!(x-3)!

    x!/2!(x-2)! + x!/3!(x-3)! =35

    x(x-1)(x-2)! / 2!(x-2)! + x (x-1)(x-2)(x-3)! /3!(x-3)! = 35

    simplificando
    x(x-1)/2! +x (x-1)(x-2) /3! = 35
    x(x-1)/2 +x (x-1)(x-2) /6 = 35
    x²-x /2 +(x²-x)(x-2) /6 = 35

    Bom! Melhor que isso só se vier uma GELADA acompanhado!
    Um abraço!!!!

    ResponderExcluir
  3. Olá como obteve na questão 1 a)19 sobre 22.

    ResponderExcluir
  4. O gabarito da 1 a) esta incorreto a resposta certa e 19 sobre 12 pois 19-7=12

    ResponderExcluir

Precisa de ajuda? Use o e-mail hazimuthe@gmail.com

É necessário Colocar sua dúvida aqui nos comentários também. Assim que for possível ela será resolvida.

Regras básicas para comentar:

- Ao pedir ajuda,não use a opção anônimo.
- Como última alternativa use a opção [ Nome e (ou) Url ].
- Os comentários serão todos moderados.
- Obrigado!

Aceita tomar um chá conosco? Atreva-se!

Postagens Populares